If A B C 0 But Abc Don T Equal 0 Then A 2 B 2 Ca C 2 Ab Brainly Com
To prove this equation nonnegative, you will have to convert the equation in terms of perfect square form containing a,b and c Now, a²b²c²abbcca = ½ • ( 2a²2b²2c²2ab2bc 2ca ) = ½ • ( Three line equations with cyclically permuted coefficients1/b 1/c = 2 and abc = 3
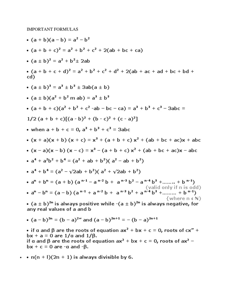
2(ab+bc+ca) formula
2(ab+bc+ca) formula-\mathtt{( abc)\left( a^{2} b^{2} c^{2} abbcca\right)}\\\ \\ \mathtt{\Longrightarrow \ a^{3} b^{3} c^{3} 3abc} This formula is important and you need to memorize it as it is directly asked in the exams Java Program to Compute 2(abbcca) where Value of a, b and c are Given The formula of 2(ab bc ca) is given below 2(ab bc ca) = (a b c) 2 – (a 2 b 2 c 2) Now we will convert this into a valid Java expression Let x= 2(abbcca) = (a b c) 2 – (a 2 b 2 c 2) = ((a b c)*( a b c)) – ((a*a) (b*b) (c*c)) Example
Algebraic Formulas Cyclic Expression Divisibility Rules In Algebra
Divide each term in 2(abbc ca) = v 2 ( a b b c c a) = v by 2 2 and simplify Tap for more steps abbc ca = v 2 a b b c c a = v 2 Subtract bc b c from both sides of the equation abca = v 2 −bc a b c a = v 2 b c Factor a a out of abca a b c aPut a = tanA,b = tanB,c = tanC So, tan(AB C) = 1 AB C = 4π Now, 1a21a = 21cos2Asin2A = 21 2sin(2π) If x = 2A 4π (ab c)(ab −bc −ca)abc https//wwwtigeralgebracom/drill/ (a_b_c) (abbcca)_abc/ $(abc)^2=a^2b^2c^22(abbcca)=12(abbcca)$ therefore $$(abbcca)=((abc)^21)/2$$ so the value is not fixed
In this chapter, we will discuss one important algebra formula that is relevant for grade 9 math student The formula is given as;A b c = 45 and ab bc ca = 254 Formula Used (a b c) 2 = a 2 b 2 c 2 2 (ab bc ca) Calculation According to the formula used ⇒ (45) 2 = a 2 b 2 c 2 2 × (254) ⇒ 25 = a 2 b 2 c 2 508 ⇒ a 2 b 2 c 2 = 25 – 508 ∴ a 2 b 2 c 2 = 1517A² b² c² = (abc)² 2(ab bc ca) The actual formula is (abc)² = a² b² c² 2( ab bc ca) You can get this simple formula by multiplying (ab c) with (abc) (ab c)² = (ab c)*(ab c) = a*(ab c) b*(ab c) c*(ab c) = a² ab ac ab b² bc ca bc c² = a² b² c² 2ab 2bc 2ca
2(ab+bc+ca) formulaのギャラリー
各画像をクリックすると、ダウンロードまたは拡大表示できます
![]() | ![]() | |
![]() | ![]() | |
![]() | ![]() | |
「2(ab+bc+ca) formula」の画像ギャラリー、詳細は各画像をクリックしてください。
![]() | ![]() | ![]() |
![]() | ![]() | |
![]() | ![]() | ![]() |
「2(ab+bc+ca) formula」の画像ギャラリー、詳細は各画像をクリックしてください。
![]() | ||
![]() | ![]() | |
「2(ab+bc+ca) formula」の画像ギャラリー、詳細は各画像をクリックしてください。
![]() | ![]() | |
![]() | ![]() | ![]() |
![]() | ![]() | |
「2(ab+bc+ca) formula」の画像ギャラリー、詳細は各画像をクリックしてください。
![]() | ![]() | ![]() |
![]() | ![]() | |
![]() | ![]() | |
「2(ab+bc+ca) formula」の画像ギャラリー、詳細は各画像をクリックしてください。
![]() | ||
![]() | ![]() | |
![]() | ||
「2(ab+bc+ca) formula」の画像ギャラリー、詳細は各画像をクリックしてください。
![]() | ![]() | ![]() |
![]() | ||
![]() | ![]() | |
「2(ab+bc+ca) formula」の画像ギャラリー、詳細は各画像をクリックしてください。
![]() | ||
![]() | ![]() | ![]() |
「2(ab+bc+ca) formula」の画像ギャラリー、詳細は各画像をクリックしてください。
![]() | ![]() | |
![]() | ![]() | ![]() |
![]() | ||
「2(ab+bc+ca) formula」の画像ギャラリー、詳細は各画像をクリックしてください。
![]() | ||
![]() | ||
![]() | ||
「2(ab+bc+ca) formula」の画像ギャラリー、詳細は各画像をクリックしてください。
![]() | ![]() | ![]() |
![]() | ||
![]() | ![]() | ![]() |
「2(ab+bc+ca) formula」の画像ギャラリー、詳細は各画像をクリックしてください。
![]() | ![]() | ![]() |
![]() | ![]() |
If a 2b 2c 2−ab−bc−ca=0, prove that a=b=c Medium Solution Verified by Toppr Consider, a 2b 2c 2–ab–bc–ca=0 Multiply both sides with 2, we get 2(a 2b 2c 2–ab–bc–ca)=0 ⇒ 2a 22b 22c 2–2ab–2bc–2ca=0 ⇒ (a 2–2abb 2)(b 2–2bcc 2)(c 2–2caa 2)=0 ⇒ (a–b) 2(b–c) 2(c–a) 2=0 Since the sum of square is zero then each term should be zero A plus B plus C whole Square formula is an algebraic identity which is used to find the sum of squares of the three numbers The expression of this A plus B plus C ka whole square formula is (a b c) 2 = a 2 b 2 c 2 2 (ab bc ca) Read about a b c whole square How to derive A plus B plus C the whole square ka formula
Incoming Term: 2(ab+bc+ca) formula, a^2+b^2+c^2-ab-bc-ca formula,




































































